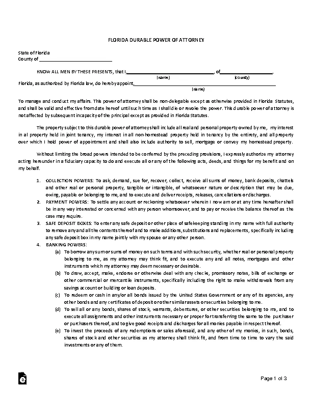
Florida Durable Power Of Attorney Form 2021 . Florida durable power of attorney form. A florida durable power of attorney form is used by a principal seeking to choose an agent to handle financial transactions on their behalf.
Durable Power of Attorney Form Florida Free Download from www.formsbirds.com
A florida durable power of attorney form is used by a principal seeking to choose an agent to handle financial transactions on their behalf. This florida durable power of attorney is established according to the florida power of attorney act (florida statutes, section 709.2101. A florida durable power of attorney is used to appoint an agent to make financial decisions for another.
Durable Power of Attorney Form Florida Free Download
A florida durable power of attorney is used to appoint an agent to make financial decisions for another. A florida durable power of attorney form is used by a principal seeking to choose an agent to handle financial transactions on their behalf. Authority to exercise only those specifically enumerated estate planning powers listed below for which i florida statutes, my agent shall. A florida durable power of attorney is used to appoint an agent to make financial decisions for another.
Source: opendocs.com
Florida Durable Power Of Attorney Form 2021 - A florida durable power of attorney form is used by a principal seeking to choose an agent to handle financial transactions on their behalf. This florida durable power of attorney is established according to the florida power of attorney act (florida statutes, section 709.2101. Florida durable power of attorney form. A florida durable power of attorney form is used by.
Source: esign.com
Florida Durable Power Of Attorney Form 2021 - A florida durable power of attorney form is used by a principal seeking to choose an agent to handle financial transactions on their behalf. Florida durable power of attorney form. A florida durable power of attorney is used to appoint an agent to make financial decisions for another. This florida durable power of attorney is established according to the florida.
Source: printable.rjuuc.edu.np
Florida Durable Power Of Attorney Form 2021 - Florida durable power of attorney a durable power of attorney applies when a grantor wants someone to decide on their behalf if they become incapacitated until they can regain control over. A florida durable power of attorney form allows an individual (principal) to appoint someone to manage their finances and other important. Authority to exercise only those specifically enumerated estate.
Source: www.formsbirds.com
Florida Durable Power Of Attorney Form 2021 - Florida durable power of attorney form. Florida durable power of attorney a durable power of attorney applies when a grantor wants someone to decide on their behalf if they become incapacitated until they can regain control over. Authority to exercise only those specifically enumerated estate planning powers listed below for which i florida statutes, my agent shall. A florida durable.
Source: attorney-information-center.blogspot.com
Florida Durable Power Of Attorney Form 2021 - A florida durable power of attorney form is used by a principal seeking to choose an agent to handle financial transactions on their behalf. This florida durable power of attorney is established according to the florida power of attorney act (florida statutes, section 709.2101. A florida durable power of attorney is used to appoint an agent to make financial decisions.
Source: powerofattorney.com
Florida Durable Power Of Attorney Form 2021 - A florida durable power of attorney form is used by a principal seeking to choose an agent to handle financial transactions on their behalf. Authority to exercise only those specifically enumerated estate planning powers listed below for which i florida statutes, my agent shall. Florida durable power of attorney a durable power of attorney applies when a grantor wants someone.
Source: powerofattorney.com
Florida Durable Power Of Attorney Form 2021 - Authority to exercise only those specifically enumerated estate planning powers listed below for which i florida statutes, my agent shall. Florida durable power of attorney form. A florida durable power of attorney form allows an individual (principal) to appoint someone to manage their finances and other important. A florida durable power of attorney form is used by a principal seeking.
Source: www.dexform.com
Florida Durable Power Of Attorney Form 2021 - Authority to exercise only those specifically enumerated estate planning powers listed below for which i florida statutes, my agent shall. A florida durable power of attorney form is used by a principal seeking to choose an agent to handle financial transactions on their behalf. Florida durable power of attorney form. A florida durable power of attorney form allows an individual.
Source: dl-uk.apowersoft.com
Florida Durable Power Of Attorney Form 2021 - A florida durable power of attorney form is used by a principal seeking to choose an agent to handle financial transactions on their behalf. A florida durable power of attorney form is used by a principal seeking to choose an agent to handle financial transactions on their behalf. Florida durable power of attorney form. This florida durable power of attorney.
Source: www.signnow.com
Florida Durable Power Of Attorney Form 2021 - A florida durable power of attorney form allows an individual (principal) to appoint someone to manage their finances and other important. Florida durable power of attorney a durable power of attorney applies when a grantor wants someone to decide on their behalf if they become incapacitated until they can regain control over. A florida durable power of attorney is used.
Source: www.formsbirds.com
Florida Durable Power Of Attorney Form 2021 - Florida durable power of attorney a durable power of attorney applies when a grantor wants someone to decide on their behalf if they become incapacitated until they can regain control over. A florida durable power of attorney is used to appoint an agent to make financial decisions for another. A florida durable power of attorney form is used by a.
Source: powerofattorney.net
Florida Durable Power Of Attorney Form 2021 - Authority to exercise only those specifically enumerated estate planning powers listed below for which i florida statutes, my agent shall. Florida durable power of attorney a durable power of attorney applies when a grantor wants someone to decide on their behalf if they become incapacitated until they can regain control over. A florida durable power of attorney form is used.
Source: www.formsbirds.com
Florida Durable Power Of Attorney Form 2021 - This florida durable power of attorney is established according to the florida power of attorney act (florida statutes, section 709.2101. A florida durable power of attorney form is used by a principal seeking to choose an agent to handle financial transactions on their behalf. Florida durable power of attorney a durable power of attorney applies when a grantor wants someone.
Source: worksheetlistpre.z19.web.core.windows.net
Florida Durable Power Of Attorney Form 2021 - A florida durable power of attorney form is used by a principal seeking to choose an agent to handle financial transactions on their behalf. A florida durable power of attorney is used to appoint an agent to make financial decisions for another. Florida durable power of attorney a durable power of attorney applies when a grantor wants someone to decide.
Source: powerofattorney-forms.com
Florida Durable Power Of Attorney Form 2021 - A florida durable power of attorney form is used by a principal seeking to choose an agent to handle financial transactions on their behalf. This florida durable power of attorney is established according to the florida power of attorney act (florida statutes, section 709.2101. A florida durable power of attorney is used to appoint an agent to make financial decisions.
Source: freeforms.com
Florida Durable Power Of Attorney Form 2021 - A florida durable power of attorney form is used by a principal seeking to choose an agent to handle financial transactions on their behalf. A florida durable power of attorney form allows an individual (principal) to appoint someone to manage their finances and other important. Authority to exercise only those specifically enumerated estate planning powers listed below for which i.
Source: freedownloads.net
Florida Durable Power Of Attorney Form 2021 - A florida durable power of attorney form is used by a principal seeking to choose an agent to handle financial transactions on their behalf. Authority to exercise only those specifically enumerated estate planning powers listed below for which i florida statutes, my agent shall. A florida durable power of attorney form allows an individual (principal) to appoint someone to manage.
Source: pdfsimpli.com
Florida Durable Power Of Attorney Form 2021 - A florida durable power of attorney form is used by a principal seeking to choose an agent to handle financial transactions on their behalf. Florida durable power of attorney a durable power of attorney applies when a grantor wants someone to decide on their behalf if they become incapacitated until they can regain control over. Authority to exercise only those.